疫情下的游戏行为与心理状态研究发布
近日,Nature Portfolio于8月26日发布了一篇题为《COVID-19大流行期间的电子游戏游玩与幸福感》的研究论文,引发广泛关注。该研究由波兰亚当·密茨凯维奇大学的Łukasz D. Kaczmarek领衔团队撰写,聚焦于全球疫情背景下电子游戏使用习惯的变化,以及其与玩家心理健康之间的潜在联系。随着居家隔离成为常态,电子游戏作为主要娱乐方式之一,其对心理状态的影响成为学界关注焦点。

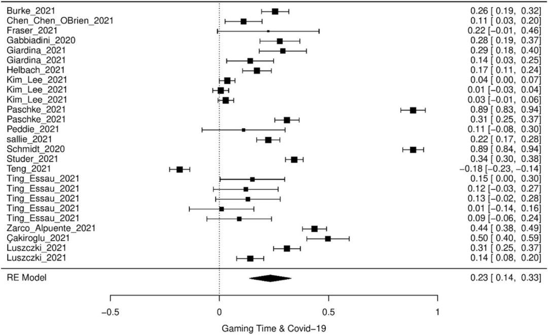
游戏时间微增但未显著影响心理健康
研究团队通过元分析方法,整合了多项在疫情前后开展的实证研究数据,系统评估了游戏时长变化与心理健康指标之间的关系。结果显示,尽管疫情期间人们的平均游戏时间略有上升,但这种增长幅度远低于此前部分调查所宣称的“激增”程度。更重要的是,研究并未发现游戏时间的延长与心理幸福感改善之间存在明确的正向或负向关联。

游戏体验质量或比时长更具影响力
研究进一步指出,真正可能影响心理状态的并非“玩了多久”,而是“如何玩”以及“玩得是否愉快”。数据显示,游戏带来的社交连接、成就感和沉浸感等积极体验,才是提升幸福感的关键因素。这一发现支持了“游戏体验质量”优于“游戏时长”的观点,也为未来心理健康干预提供了新思路——或许应更关注玩家在游戏中的主观感受,而非单纯限制使用时间。

游戏有望被视作健康休闲方式
基于研究结果,团队认为,将电子游戏作为一种正当且有益的休闲活动加以接纳,具备科学依据。只要不过度沉迷,游戏完全可以成为缓解压力、增强人际互动的积极工具。不过,研究人员也坦承研究存在局限:由于缺乏未受疫情影响地区的对照样本,且参与者多来自特定地区与年龄段,难以完全确立因果关系。未来需拓展跨文化、跨年龄的研究样本,以获得更全面的结论。


























